Quanta droga c’è nelle fogne di Milano?
Meno di tante altre grosse città europee. Nel 2025 Milano è risultata essere rispettivamente al 53mo e al 67mo posto su 140 città europee per consumo medio giornaliero di cocaina e metanfetamina, all’83mo...
Meno di tante altre grosse città europee. Nel 2025 Milano è risultata essere rispettivamente al 53mo e al 67mo posto su 140 città europee per consumo medio giornaliero di cocaina e metanfetamina, all’83mo...
Eolico, solare, idroelettrico, geotermico e biofuel: secondo Eurostat, nel 2025 le fonti rinnovabili hanno generato il 47,3% dell’energia prodotta all’interno dei confini dell’Unione...
I dati di Google Earth — parliamo di una libreria che copre il 98% della popolazione mondiale con immagini 3D e satellitari — ora sono a disposizione di sviluppatori e aziende su scala globale tramite...
Il “No” ha vinto al referendum costituzionale sulla giustizia tenutosi nelle giornate del 22 e del 23 marzo. Ma cosa ha vinto nel vostro comune? Per rispondere è possibile utilizzare i dati estratti...
Due studi pubblicati su Nature riaprono una questione centrale nella climatologia: cosa guida davvero i grandi cambiamenti climatici su scala geologica. La risposta, almeno per una fase cruciale del passato...
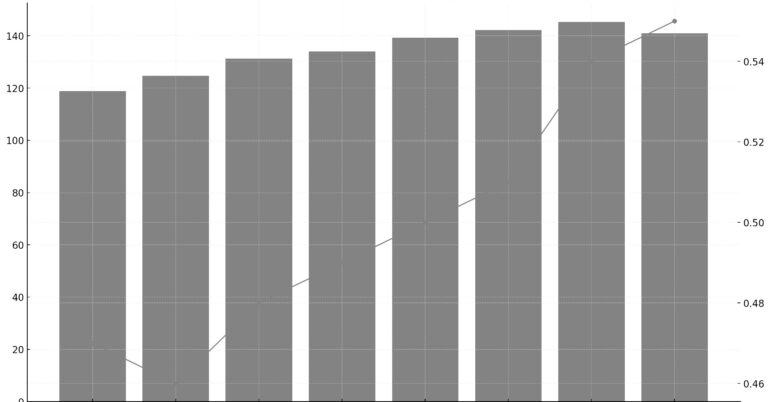
C’era un tempo in cui le famiglie italiane sognavano per i propri figli una scrivania con la targa dorata: avvocato, architetto, ingegnere. Tre professioni capaci di evocare status sociale, reddito...
Flash flood prediction models need historical data and model training that often doesn’t exist. Our solution: Groundsource, a new AI-powered methodology that uses Gemini to transform 5M+ global reports...
Arriva dal Sahara, attraversa il Mediterraneo e in pochi giorni cambia il colore del cielo sopra l’Europa. Succede più spesso di quanto pensiamo. Il Sahara è la più grande fabbrica naturale di polveri...
Al 1 gennaio 2025 erano 5 milioni e 898mila gli stranieri che vivono in Italia, 143mila in più rispetto alla stessa data del 2024. Si apre con questo dato il 31simo Rapporto sulle migrazioni della Fondazione...
Info Data ha iniziato a monitorare il sistema carcerario italiano a giugno del 2025, attraverso uno scraper realizzato in R che aggiorna quotidianamente le informazioni sui penitenziari, estraendo i dati...